2013年11月28日星期四

编程能力与编程年龄 | 酷壳 - CoolShell.cn

程能力与编程年龄 | 酷壳 - CoolShell.cn 

程序员这个职业究竟可以干多少年,在中国这片神奇的土地上,很多人都说只能干到30岁,然后就需要转型,就像《程序员技术练级攻略 》这篇文章很多人回复到这种玩法会玩死人的一样我在很多面试中,问到应聘者未来的规划都能听到好些应聘都说程序员是个青春饭。因为,大多数程序员都认为,编程这个事只能干到30岁,最多35岁吧每每我听到这样的言论,都让我感到相当的无语,大家都希望能像《21天速成C++ 》那样速成,好多时候超级有想和他们争论的冲动,但后来想想算了,因为你无法帮助那些只想呆在井底思维封闭而且想走捷径速成的人

今天,我们又来谈这个老话题,因为我看到一篇论文,但是也一定会有很多人都会找出各种理由来论证这篇论文的是错的,无所谓了,我把这篇文章送给那些和我一样准备为技术和编程执着和坚持的人

首先,我们先来看一篇论文《Is Programming Knowledge Related to Age? 》(PDF链接),这篇论文是两个北卡罗莱纳州立大学计算机科学系的两个人Patrick Morrison 和 Emerson Murphy-Hill 对StackOverflow.com上的用户做了相关的数据挖掘得出来的一些数据(我们知道StackOverflow.com上的数据是公开的,任何人都可以用来分析和统计,所以这篇论文的真实性是有的)

数据采样和清洗条件如下:(数据全量是1694981用户,平均年龄30.3岁)

  • 15-70岁之间的用户(这年龄段的用户被称做“Working age”),当然,有很多用户没有输入年龄,这些用户都被过滤了
  • 用户在2012年内都回答过问题。因为StackOverflow在2012年对问题和答案的质量要求得比以前高了一倍,所以更能反映程序员的真实水平
  • Reputation声望在2-100K之间。(注:StackOverflow的用户Reputation是得到社会认可的,在面试和招聘中是硬通货币比大学的学分更有价值)

上述的条件一共过滤出84,248名程序员,平均年龄:29.02岁,平均Reputaion在1073.9分。

年龄分布图

下面我们来看一下他们的年龄分布图:我们可以看到程序员年纪的正态分布(高点在25岁左右,但是中点在29岁左右)



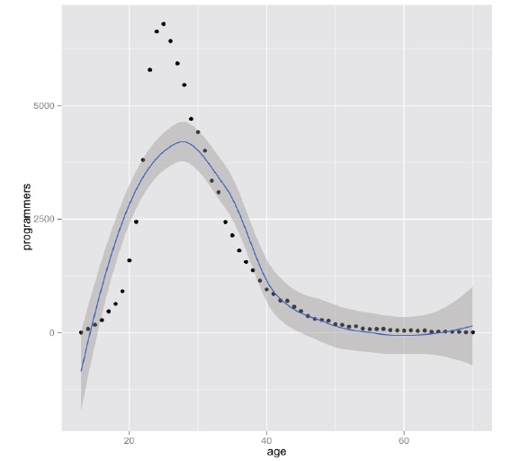
能力和年龄分布图

然后,计算每个人每个月的Reputation,这样可以找到这个用户的真正的活跃时间,这样便于计算这个程序员的真实能力(总声望 / 活跃时间),可以得到他平均每个月得来的Reputation。

我们来看看程序员的能力和年龄段的分布图:(你可能会大吃一惊)



上图中我们可以看到,程序员的能力在从25岁左右开始上升,一直到50岁后才会开始下降所以说,程序员吃的不是青春饭。只有码农,靠蛮力,用体力而不是用脑力的程序员才是吃青春饭的人。

年纪大的人是否跟不上新技术

论文的作者分析了Tag,用了最近5年内比较流行的技术Tag,然后用了一套比较严谨的算法来查看那些所谓的“老程序员”是否在新技术上跟上不了,所谓跟不上,也就是这些老的程序员在回答这些新技术上并不活跃所谓老,就是37岁以上的程序员(就是我现在的年纪)。

得到了下表:可以看到,老程序员和年轻的程序员对于一些新技术的学习来说也是差不多的,甚至有些项还超过了年轻的程序员



论文的结论是:

1)程序员技术能力上升是可以到50岁或60岁的

2)老程序员在获取新技术上的能力并不比年轻的程序员差

我的一些感受

最后,我说一说我的一些感受:

  • 这些年来的对于外企和国内感受—— 国外牛B的IT公司的工程能力并不见得比国内的要强多少,但是国外那些NB的IT公司的架构和设计能力远远超过国内的公司,最可怕的是,那些有超强架构和设计能力的“老程序员们”还战斗在一线,这些战斗在一线的老鸟的能力绝对超过100个普能的新手
  • 对年轻程序员的感受——国内新一代的程序员们太浮燥了老实说,对于大多数人来说,如果你没有编程到30岁,你还不能成为一个“合格”的程序员所以,并不是编程编到30岁就玩完了,而是编程编到30岁才刚刚入门。这些不合格的程序,整天BS这个不好,那个不好的,而且喜欢速成,好大喜功
  • 我是一个奔四的人了,编程就像登山一样,越往上爬人越少,所以,在我这个年纪还有想法,对编程还有热情的人不多了,基本上都是转Manager了其实,什么职位,Title都是虚的,公司没了什么都没了,只有技术才是硬通货。而且,越是这个年纪还在玩编程玩技术的人,其实其经验和能力都是比较强的,都是中坚力量,如果还有其它这个年纪和我一样的人,求交往

(全文完)

(转载本站文章请注明作者和出处 酷壳 – CoolShell.cn ,请勿用于任何商业用途)

——=== 访问 酷壳404页面 寻找遗失儿童。 ===——
 

为什么会觉得一首歌的旋律很 low?是哪些因素造成的? - 知乎

比如凤凰传奇的歌,不能说它的旋律难听,但就是觉得格调不高,同样是大白话,hey jude就显得逼格较高,是什么原因造成的?
很多因素都可以low掉一首歌,比如歌词的修辞歌手的嗓音和造型、专辑文案等。旋律本身对歌曲的格调更是决定性的,这可以反映出作曲者(或者是认可这个作曲者的歌手)的内在音乐水准,继而影响到歌词演唱处理,以及造型、文案等周边因素。

旋律无非就是节奏和音高,今天心情好,做个图来好好讲讲就拿凤凰传奇的《自由飞翔》和Beatles的《Hey Jude》前两句对比:

——————

先从节奏分析:
凤凰的low处,同时也是Beatles的逼处,主要有三点:

1《自由》里,句子都起在小节强拍,文字律动和节拍律动重合了而《Jude》则是弱起,而且一句是起在第四拍,下一句起在三拍半,非常精致且工整。这种文字和节拍的律动错位带来层次感和发挥空间

2、《自由》的音节时值单一汉语基本是一字一音节,《自由》里每个字,也就是音节,时值都是半拍或一拍。而《Jude》里,音节的时值安排就很丰富,半拍一拍两拍两拍半的都有

3、《自由》的句子长度太单一,没有长度变化也就自然缺乏节奏变化:一二三四五,二二三四五,三二三四四二三四五二三四五很无聊的。《Jude》就自行对比吧。

——————

再从音高上看
1上面说过,《自由》的文字律动和节拍律动重合了,而节拍律动通常又和和声进行一致,所以《自由》的句子是和和声保持一致的而《Jude》断句和和声变化点是错位的,句子更频繁地在和声之间跨越,会更有变化,层次更丰富

2《自由》的旋律基本上是一度二度的自然音级进,只有“旧”和“泪”之间有个四度跳进,还是下行,不太明显。而《Jude》,“sad song”是五级上行跳进,“it bad”是五级下行跳进,还有“better”的装饰音下行四度,变化得更明显,旋律就更委婉抒情歌,委婉的旋律当然更好听。

旋律和和声的问题,两句旋律太短,更多问题要放在更大的段落范围去分析。比如《Jude》后面的离调更丰富的曲式结构等,这些都是《自由》所没有的。单说谱子怕人听不懂,做图又太费劲,这里就不多展开了。

——————

歌曲的水准、品味格调,就取决于这些细节的斟酌和考量上。听众不知道这些细节,但听众都能或多或少地感受出音乐的品质的差别。


————updates————

1不少朋友审题不仔细啊。是题主在补充说明里专门提到了凤凰传奇和《Jude》,我才这样对比的

2、我猜评论里说我扯淡的几位朋友里,学过乐理的估计不多,正如很多对@yolfilm 影评说三道四的人甚至没学过编剧和构图我国教育长期忽视文史哲体音美,使得社会对文艺领域的专业知识缺乏基本的了解与尊重

3音乐有主观的口味差异,但音乐更有客观专业、全面的评价标准。上面提到的,不过是每个初学歌曲写作的学生都要掌握的基本艺术原则和创作技巧,离“作品分析”这一学科还差得远

4、凤凰传奇的low,或者换句话说,鲜明的艺术特色,是贯穿在这两位艺术家的审美取向里,并且体现在艺术创作的各个层面上的就拿旋律律动来说吧,不光是《自由飞翔》,其他大热歌曲比如《最炫民族风》、《我从草原来》、《我和草原有个约定》,主歌全部是正拍进正拍出,旋律律动和节奏律动都贴合得死死的,简单且粗暴,这才能博得节奏感不(can)强(ji)的广大人民的共鸣这种审美取向带来的共鸣还体现在其他层次,比如伪五声小调,简单的自然音阶搭配三和弦,频繁出现终止式,等等,都受到了普通歌(yue)迷(mang)的喜爱 

2013年11月3日星期日

何仁勇 : 蒋介石为何要软禁抗战名将孙立人 - 一五一十部落 | My1510

仁勇 : 蒋介石为何要软禁抗战名将孙立人



蒋介石一辈子软禁了两个人一是张学良,一是本文的主人公:孙立人孙立人堪称抗战名将中学历最高的人:他曾是清华大学是高材生,后赴美留学,先后毕业于普渡大学和弗吉尼亚军事学院学成回国,恰遇全面抗战开始,孙立人先后参加淞沪会战和武汉会战,两战均立下赫赫战功,遂在军界扬威立万当然,这还不是孙立人最风光的时候。

1942年,孙立人率领新38师与中国远征军进入缅甸,与盟军协同作战4月19日,孙立人指挥了仁安羌之战,以一个半团800人的兵力,战胜数倍于己的日军,将被日军重重包围的7000英军成功救出消息传出,中、英、美三国轰动为此,蒋介石给他颁发了四等云麾勋章。罗斯福授予他“国会”勋章。英王乔治六世则授予他“不列颠帝国勋章”司令勋衔——据称,这是英国历史上第一次将这种勋章颁给外籍将领。

之后,孙立人率新1军打通中印公路,纵横胡康与孟拱河谷的原始森林中,重创日军,打得日军强悍的56师团数万仅有二十几人侥幸逃脱在孟拱河谷西南方的一个死谷里.竟有两干多名全副武装的日军无处逃生而集体饿死在高山密林里……

但是,就是这样一位被称为“东方隆美尔”在二战时期歼敌最多的中国将领,却在跟随蒋介石奔赴台湾后,被后者软禁长达33年,成为历史上第二个张学良在被软禁的日子里,孙立人将军一贫如洗,不得不靠种花卖花、养鸡卖鸡蛋来供子女上学读书……一代名将为何沦落如此?值得后来者问一个为什么

“艾森豪威尔邀请你,为什么不邀请我?”

我们知道,孙立人毕业于美国弗吉尼亚军事学院,与蒋介石素来看重的黄埔系不是同一派系孙立人甚至一生都没有加入过国民党。所以,在非常注重派系、党派关系的蒋介石看来,孙立人立功再多,也是“外来人”,得不到青睐和重用的因此,当孙立人指挥新一军在东北进行内战时,孙与杜聿明不和,蒋介石只能是让孙靠边站——将他调回南京国防部任职,实际上已经远离战场对于一名将军来说,还有什么比离开战场更痛苦的事情?

蒋介石对孙立人其实相当猜忌甚至妒忌这源于孙与美国保持的良好关系。孙立人早年在美国留学,在缅甸又与美军并肩作战,一度被美方任命为前敌总指挥,指挥包括美国大兵在内的盟军1945年7月,应欧洲盟军最高司令艾森豪威尔之邀,孙立人赴欧考察欧洲战场,是中国唯一被邀请的高级军官。蒋介石竟然因此质疑孙立人:艾森豪威尔邀请你,为什么不邀请我?

另外一件事情,也让蒋介石加深了对孙立人的不满1949年2月,美国远东最高统帅麦克阿瑟将军派特使来到台湾,邀请孙立人到东京与他会谈。有了上次的经验,孙立人这次学乖了他没有马上答应,而是先通过时任台湾省政府主席、台湾省警备总司令部总司令的陈诚,获得蒋介石的同意,才乘坐麦克阿瑟的专机飞往日本在日本,麦克阿瑟告诉孙立人,美国全力支持孙“负责巩固台湾”。孙当即表示,“我只会打仗,不会搞政治,不会领导反共”,要美国继续支持蒋介石应该说,这种表态是得体而严谨的。

回到台湾后,孙立人再次通过陈诚,将会见的情形如实向蒋介石汇报但是显而易见,孙立人的坦诚并没有打消蒋介石的猜忌。

孙立人是一位职业军人,他崇尚军队国家化,反对大太子蒋经国在军队中推行政工制度在这一点上,他与美军顾问团长蔡斯的看法一致。蔡斯负责台湾军援的执行和美援的发票签字权,颐指气使,法力无边,简直就是蒋介石的“上帝”蒋介石无可奈何,只能在日记中恼恨地说,“吴(国桢)、孙(立人)屡屡挟外(美国)自重”。只是因为一方面当时台海局势严峻,必须依赖孙立人这样的干将防守台湾。另一方面因为孙与美国人的这层关系,可以利用孙立人周旋于美国之间,争取美国更多援助

所以,在不太短的时间里,蒋介石不但没有收拾孙立人,反而在1950年3月17日,将孙立人擢升为陆军总司令兼陆军训练司令,三天后又加台湾防卫总司令蒋介石还承诺,未来晋升其为三军总参谋长从表面上看,孙立人风光无限,几成蒋介石身边最炙手可热的人物。

欲加之罪,何患无辞?

但是很快,孙立人的好日子结束了就在1950年6月底,朝鲜战争爆发。美国第七舰队进驻台湾海峡,台湾的安全有了保障孙立人的第一个作用被削弱了。1954年,“美台共同防御条约”签署。台湾被美国正式纳入“保护范围”,台湾不但不用缴纳“保护费”,美国还从军事、政治经济等方面提供大量援助。这样一来,孙立人的第二个作用消失了。

从这一刻开始,蒋介石开始着实清理孙立人这一根“眼中刺”——在这之前的1953年,蒋介石就罢黜了吴国桢“美台共同防御条约”签署的当月,孙立人被调任总统府参军长。这是一种明升实降的安排,让孙立人彻底解除了兵权。而没有兵权的将军,就像一只没有牙齿的老虎但是,对于孙立人来说,噩梦才刚刚开始。

1955年5月25日,在蒋介石的授意下,保密局局长毛人凤将孙立人的老部下步兵学校少校教官郭廷亮以“匪谍”为名逮捕。一周后,台南又发生“兵谏”案,孙立人老部下300多人遭到逮捕

被捕后,郭遭到长达十几天严刑拷打,要求他承认谋叛。但他始终不肯承认。这时候,保密局特勤室主任毛惕园向毛人凤建议,使用劝诱方式。于是,7月14日,毛人凤向郭廷亮诈称,说孙立人遭到诬告,如果他主动承认是“匪谍”,可立即消除孙立人的嫌疑郭因此写下“自白书”,承认自己是“匪谍”。办案人员拿着“自白书”,又以此威胁台南“兵谏案”涉案人员,成功地拿到几十份“自白书”

在“匪谍”案和“兵谏”案发生之后,一时山雨欲来,谣言满天飞。很多人都劝孙立人远走高飞,离开台湾这个是非之地可孙立人不以为动。或许他认为自己问心无愧,经得起考验。事实证明,这位身经百战的老将太傻天天真了。8月3日,“总统府”第一局长黄伯度拿着几十份“自白书”来到孙立人官邸在黄的胁迫之下,孙立人被迫写下“辞职书”,辞去总统府参军长职位。

8月21日,蒋介石下令免除孙立人“参军长”职务,并成立由副总统陈诚为主任委员,王宠惠许世英、张群何应钦、吴忠信、王云五、黄少谷俞大维等为委员的“九人调查委员会”,调查“兵谏”案。两个月后,“调查委员会”做出结论,指责孙的部下郭廷亮“为中共工作”,利用孙的关系在军中联络军官,准备发动“兵谏”,孙未及时“举报”,亦未“采适当防范之措施”,“应负责任”

蒋介石最后以“纵容部属武装叛国、窝藏匪谍密谋犯上”的罪名,将孙立人送往台中软禁

其实,在“九人调查委员会”启动调查的同时,监察院也由国民党籍监委陶百川、无党籍监委曹启华萧一山、王枕华余俊贤等“五人小组”自行对“兵谏”案发动调查。与“九人调查委员会”的结果迥异,监察院认为郭廷亮等人没有兴兵作乱的情节,“匪谍”一说纯属国民党内部的派系之争孙立人对此完全不应该承担责任。不幸的是,这份结果只是在监察院内部会议秘密报告,后被封存,不再公布

恢复自由身,仍未得昭雪

孙立人被软禁在台中市向上路,过着与世隔绝的日子在外人看来,那就是从1955年8月开始,这位蒋介石身边的“大好人”,突然人间蒸发了凡是与孙立人有关的东西,都被有意铲除。孙立人送郑成功纪念馆的对联被摘,台北圆山太原五百完人纪念碑上孙立人的题字也被剜去新一军的战史不能出版,虽然这是国民党抗战中获取的少数几个胜利,因为与孙立人有关……

孙立人为官清廉正派,一生没有留下什么积蓄有人说“官久必富”,孙立人听了不以为然地说:“为官哪有工夫去发财咧,只有官久必穷。”在软禁的日子里失去了经济来源,为了补贴家用,孙立人用少有的积蓄买了一块山地,种点花草、果树,由夫人骑三轮车送到街上卖后来,又买了一群鸡,以卖鸡蛋度日。四个子女的学费,也便是来自种花卖花、养鸡卖鸡蛋……

蒋介石逝世后,蒋经国担任“总统”,曾经派“总统府”秘书长马纪壮探望孙立人,问他是否愿意出来做事孙立人以“老了”为由拒绝了。

直到蒋经国死了,李登辉做了“总统”,当年“五人小组”的调查结果才被监察院公之于众1988年3月,李登辉下令恢复孙立人的自由。

可是,台湾当局始终没有行文昭雪,理由很荒唐,居然是当年软禁孙立人的时候“没有判决书”从这一点意义而言,台湾当局对孙立人只是形式上的平反,却没有在政治上平反。

带着深深的遗憾,1990年11月19日,孙立人的人生走到了尽头。孙立人逝世当日,台北大小报纸进行了铺天盖地的报道“总统”、“院长”前来致哀,宋美龄也送了花圈……大家注意到,孙立人的遗体上覆盖着清华大学校旗和美国弗吉尼亚军校校旗唯独没有国民党党旗。因为孙不是国民党员

有趣的是,弗吉尼亚军校校旗的反面有一行拉丁文,译成中文是:“暴君必亡”。

 

译言精选-美剧编剧指南

剧编剧指南

译者:斯眉 发布:2013-10-15 14:46:16挑错 | 查看译者版本 | 收藏本文

规则1 :从草根人物写起

A .让他正值中年。

35-55岁的草根人物通常过着安静而绝望的生活,被一双幼子和郊区家宅所牵绊这些主人公将遭遇中年危机、感情纠葛,并承受上有老下有小的压力现在,伴随着经济的持续不景气,“美国世纪”早已远去,中年人失去优势,成为挣扎的一代。试着写一个不太走运努力与命运抗争的家伙:他是繁荣大城市定居者的化身,正处于人生的黄金时期,但感觉自己已行将就木。(如《广告狂人》中的唐·德雷帕《纸牌屋》中的弗兰克·安德伍德、《绝命毒师》中的沃尔特·怀特、《国土安全》中的尼古拉斯·布罗迪、《行尸走肉》中的瑞克·吉姆,还有《大西洋帝国》中的纳吉·汤姆森

B .让他疾病缠身,有着惨痛的回忆

草根人物与恶魔之间有一个区别:尽管平凡的主角行为笨拙,观众们仍然能够理解并支持他们所以,让你的主角患上一种任何人都会得的病(如托尼·瑟普拉诺患有恐惧症,唐·德雷柏患有心脏病,尼古拉斯·布罗迪有战斗创伤和创伤后应激障碍症,沃尔特·怀特患有癌症)然后,镜头转回到主角悲痛的过去,来解释他的生活为何如此糟糕(如托尼的妈妈、唐在妓院的童年生活、布洛迪在狱中的八年时光,以及沃尔特的生意失败)。

C .让他精于工作。

观众不必喜欢一位平凡的主角,但必须对他过目不忘。如果一个角色在某方面具有超乎异常的才华,观众会宽恕他的风流韵事,或是谋杀罪行。所以,让主角成为所在领域的顶尖高手,会编写广告(如唐·德雷柏)制造冰毒(如沃尔特·怀特)、虚意逢迎(如伊诺奇·汤姆森)、连环杀人(如德克斯特·摩根),或危机管理(Scandal’s Olivia Pope),让他的专长成为电视剧高潮的一部分他必须才华横溢,但并非所向无敌。他需要对合法对手心存竞争性恐惧,这会促使他做出更多极端举动,增加戏剧性。

D .让他的事业成为美国梦的缩影。

精彩剧集必须与观众对医生、警察和律师的标准化认知产生更强烈共鸣。在竞争激烈的资本主义氛围中,草根主角有成长的空间,他们的职业使其得以与形形色色贪得无厌争权夺利的人物相接处,其中包括毒贩(如《监听风云》中的斯特林格·贝尔)、黑手党(如托尼·瑟普拉诺)、警察(如雷兰·吉文斯)、国会议员(如弗兰克·安德伍德)一处高度紧张、典型美国式的工作场所可以加强故事的张力,并触及权力、贪婪、资本主义等更大问题

E .给他一个秘密。

如果主角的有些东西不让家人知道——不管是冰毒生意(如沃尔特·怀特)风流韵事和偷来的身份(如唐·德雷柏)、基地组织杀害副总统的密谋计划(如尼古拉斯·布罗迪),还是对离开克格勃的渴望(如《美国谍梦》中的菲利普·詹宁斯)——这便为处理“人类内心的自身冲突”提供了简单明确的抓手,也就是福克纳口中所有好作品的根秘密也会推动故事发展:最终配偶会发现秘密,并将他驱逐出家门,他所剩无几的一点儿稳定被连根拔起。不管他此时此刻躲藏在何处,都将为讨论真正的婚姻问题、婚内生活公共自我以及信任提供一个出发点。

F .让女性担当主角。

近二十年来,引人注目的平凡主角通常是男性——但谢天谢地,这种状况正在快速变化在《美国谍梦》、《国土安全》、《丑闻》、《权力的游戏》,甚至在《醍醐灌顶》和《都市女孩》等无聊喜剧中,都有一群咄咄逼人成事不足败事有余的女主人公,并符合以上所有必备要素。比如在《美国谍梦》中,生活在郊区的孩子妈妈(A)伊丽莎白·詹宁斯在生活早期遭受强奸和虐待(B),却在冷战时期的华盛顿特区,成为一名才华横溢的国土安全局间谍(C和D),她向所有人隐藏了自己的秘密身份,除了她的丈夫(E)

规则2 :让他拥有家庭

从《广告狂人》《美国谍梦》、《行尸走肉》《绝命毒师》到《都铎王朝》、《唐顿庄园》和《权力的游戏》,最隐秘、最吸引艾美奖的是什么?答案是,这些剧的核心实际上展现的都是家族故事。常常有一位配偶充当剧集的良知人物(如卡梅拉·瑟普拉诺斯凯勒·怀特、贝蒂和梅根·德雷帕、杰西卡·布罗迪);一个性情叛逆、麻烦百出的女儿(如梅德·瑟普拉诺莎莉·德雷帕、达纳·布罗迪);一个微不足道、无药可救的儿子(A.J.瑟普拉诺、小沃尔特、博比·德雷帕、克里斯·布罗迪卡尔·格莱姆斯)。为了加大赌注,放大平民主角愿为家庭奉献一切的观念,让他的一个孩子天生残疾:在《混乱之子》中,贾克斯的孩子有先天性心脏缺陷,《绝命毒师》里的小沃尔特患有脑瘫

规则3 :把剧情设置在某个时代末期。

让你的主人公处于历史转折之中:如禁酒令时期的大西洋城(《大西洋帝国》)六十年代的麦迪逊大道(《广告狂人》)、后爱德华七世时代的英国(《唐顿庄园》)、美国西部重建期(《地狱之轮》)。这让剧集保持了有限的保质期(通常是六季),也让观众感觉到世界是在变化的,而不像不受时间影响的《辛普森一家》中的春田镇一样没有结局,因为一切始终保持不变。

规则4 :为主角设定一名导师或手下

几乎每一部高收视率剧集都利用电视剧的长篇叙事潜力,将代际更迭戏剧化。无论是在《麦迪逊大道》(唐.德雷帕与奥尔森决裂),或是在《中央情报局》(嘉莉·西森与索尔·贝伦森火拼)中,这些冲突都是关键。主人公要么对年纪老迈极具权威的导师进行反抗(或是他被杀害,后人为他报仇),要么是年轻的剧中角色威胁到平凡主角的权力掌控,使后者自觉辉煌不再

规则5 :为他添加一个相匹配的强硬对手。

所以,你已经有了光辉四射的草根主角——现在,该写一下反派角色吧,让那人性格复杂多变,甚至可能更为怪异,动机同样貌似合理想一想那些令人生厌的对手,比如《广告狂人》中的皮特·坎贝尔、《混乱之子》中的克莱·莫罗,以及《大西洋帝国》中的尼尔森·范瓦尔登。反派角色也可以亦正亦邪,比如《绝命毒师》中的汉克·施瑞德,或者《美国谍梦》中的斯坦·比曼刻画得最成功的反派角色,比如斯特林格·贝尔和《火线警探》中的博伊德·克劳德,通常会成为影迷的最爱。

规则6 :写一段单场景剧集

宏大的叙事固然很了不起,但最近一些最佳剧集只是简化的对手戏:在《广告狂人》的《手提箱》一集,被保护者佩吉·沃尔森和导师唐·德雷帕分庭抗礼或是在《绝命毒师》的冰毒实验室里《飞》那一集,杰西·平克曼和沃尔特·怀特当面对峙。这些情节将大型电视剧的长篇故事提炼为比较简单的代际冲突。

规则7 : 以某种药物为中心

非法物质交易是电视剧针对美国资本主义最耐用的隐喻之一,许多高收视率的电视剧都围绕着一种药物,不管是酒精(如《大西洋帝国》)冰毒(如《绝命毒师》),还是可卡因(如《火线》)其中会涉及到一笔带过的配角、荒诞古怪的暴力和令人心碎的情节,“蝴蝶效应”带来的后果将波及到分销链上的每个人

规则8 :性。

电视剧必须与广播区分开来,性是达到这一目的的简单做法普通电视剧经常要“打擦边球”(如在《广告狂人》中,萨莉·德雷珀亲眼目睹了罗杰·斯特林的“吹箫”功夫)。在付费有线电视中,情节设计更是无法无天:最低限度,屏幕上也要玉体横陈(如《黑道家族》中的巴达冰俱乐部《海滨帝国》中的帕兹·德拉维尔塔),然后让观众的想象力自由驰骋。从一夫多妻制(如《大爱》)到性折磨(如《权力的游戏》的杰弗里),再到吸血鬼处女膜再造(如《真爱如血》),无一不是公平博弈

规则9 :暴力事件扎堆。

希区柯克知道,相对于鲜血淋漓,悬念才是血腥暴力的先期信号如果在每一集中都编造一出谋杀事件,最终观众所能看到的,只是另一部《犯罪现场调查》式警匪片。在长篇电视剧中,悬念应该设定在后面的很多剧集中例如在《绝命毒师》中,格斯·弗令是一名死不悔改的虐待狂——但却很少行动。当他动手时,用美工刀割开维克多的喉咙,那场面绝对震撼为了展示暴力的持久后果,请尝试砍去尸体的一部分(如《权力的游戏》中奈德的头和海梅·兰尼斯特的手、《火线警探》中罗伯特·夸尔斯的手臂,以及《广告狂人》中被剁下的脚)

规则10 :每一部正剧都必须满足两个条件:

A .健康危机

要让观众忘记自己正在为暴徒或连环杀手加油打气,最简单的方式是,一开始就设计一场医疗急救场面:如在《黑道家族》中,托尼倒地前以为自己心脏病发作在《混乱之子》中,贾克斯的孩子接受过紧急手术在《火线警探》中,博伊德胸部中弹,医护人员对他进行紧急救治。在《绝命毒师》中,沃尔特被确诊为肺癌,却无法进行手术治疗在《双面法医》中,丽塔的儿子科迪患病。而《大西洋帝国》中,玛格丽特·施罗德遭受流产之苦

B .尸体的处理。

很多剧集的开头都出现这种场景,绝对阴森恐怖:在《美国谍梦》中,詹宁斯夫妇将尸体浸泡在酸溶液中在《绝命毒师》中,儿童骚扰者的尸体被弃在树林里。在《大西洋帝国》中,伊莱把汉斯的尸体被丢下海。在《黑道家族》中,克里斯托弗掩埋了埃米尔藏匿或丢弃尸体(不仅仅是杀了人,之后又逃走)界定了剧中世界的法则:恶有恶报,必须有始有终——事后不仅会真相大白,罪孽也会萦绕于心,令人寝食难安

C .晚会现场。

长篇大戏通常需要众多的剧中人物,才足以将纷繁交织的故事线维持很多年但是,如何将这些人物引入剧情?几乎每一部大片在开场部分都会举办一场大型晚会——要么是生日派对(例如《黑道家族》《绝命毒师》)、葬礼守灵(例如《六英尺下》、爆炸倒计时(例如《大西洋帝国》),要么是皇家盛宴(例如《权力的游戏》)把人物集中在同一个房间,方能展示出戏剧世界的复杂和逼真。

D .大爆炸。

如果你不早点儿把包袱抖出来,没人会知道后面的精彩将多么令人难忘,因此,在情节中安排炸毁些大物件吧,例如仓库(如《混乱之子》)餐厅(如《黑道家族》)、飞机(如《迷失》)或教堂(如《火线警探》)。

E .展示英雄的超能力

还记得唐的天才之作“好彩香烟”广告吗(“它是被烤过的”)?或是卡丽怎样发现布洛迪的手指正在敲击恐怖代码?或是杰克在815航班上为同机乘客实施外科手术?在每个设定好的情节场景中,角色都是屏幕上最聪明的人即便有剧本操纵一切,观众们仍会不由自主地对主人公的一技之长深表赞赏

规则11 :“掉书袋”。

像撒鸟食一样随处引经据典如果剧集广受欢迎,影迷和喜欢“对号入座”的人会花大量时间,无休止地探寻隐藏的含义,不管这些含义是否真实存在,或者引用是否恰当如果有一集的剧情晦暗不明,明显的象征手法会让观众胡思乱想,使剧集笼罩上一层智慧的光彩。为什么不能将监狱命名为“翡翠城”,把剧名叫做《奥兹》?为什么不在《广告狂人》中引用但丁的《地狱》,连同《罗马帝国的衰亡》还有弗兰克·奥哈拉的诗歌?《草叶集》会与《绝命毒师》擦出怎样的火花?或许不会逊色于《汤姆·索亚》或者《动物农场》对《迷失》的影响力

规则12 :让每个人身处险境。

杀死主要角色会让观众神经紧张,说明重大危险即将降临。在你设计宏大而震惊的死亡场景时,尽量把它安排在一季剧集的倒数第二集,可为最终结局减少些许压力《广告狂人》中的莱因·普莱斯、《权力的游戏》中的奈德·史塔克、《绝命毒师》中的迈克·艾曼翠岳、《混乱之子》中的唐娜·勒纳和《火线》中的斯特林格·贝尔和华莱士都在倒数第二集死去,得以安息!

规则13 :不要忘记喜剧效果

遵循上述十几条规则,故事很快会变得单调凄凉请偶尔来点儿滑稽场面,让人放松放松在原本暗黑的《绝命毒师》中,索尔·古德曼、贝吉尔和斯基尼·皮特的出现,有助于提亮观众的情绪。《广告狂人》需要罗杰的俏皮话和哈利的插科打诨。甚至连《火线》一剧中都少不了喜剧台词,就是克莱·戴维斯议员的那句“啊呀……呸”

 

双11卖的东西是一年中最便宜的吗? | 涨姿势

11 卖的东西是一年中最便宜的吗?

2013年10月30日 ⁄ 大千世界 ⁄ 共 1450字 ⁄ 字号 暂无评论 ⁄ 阅读 次

我是双十一会场商家,我来回答您
双十一的价格政策是:
1必须低于9月15日至11月10日期间成交最低价的九折
2、11月12日至12月11日期间不得低于双11当天售价出售。
综上,双十一价格基本上是9月到12月4个月最低的价格。
理论上讲,也应该是全年最低价,因为规模效应大大降低了运营成本,商家是可以让出这部分利润的

另外,五折是指专柜价,而不是平时的实际售价。专柜价基本随便填。

总而言之,双十一确实能捡着便宜,但是没有宣传的那么大。天猫对价格的管控还是比较严的系统自动检测,价格虚报或者没达到低价要求的是不允许双十一当天上架销售的。

以下是2013年10月30号补充

受宠若惊啊,怎么突然就快200赞了谢谢,谢谢大家。没想到随意写的被大家这么关注,难道是临近双11的节奏?那我便本着知乎专业的精神补充一下答案,希望能解决大家的疑惑

利益相关(如果下面不小心或者故意出现我们的品牌或者店铺,请大家见个谅啊。我保证绝不影响答案的客观公正性,也保证绝对是不小心或者故意的

双十一价格政策是如何执行和监管的?
先上一张图:

这张图片熟悉吧?这个是双十一当天你们即将看到的宝贝页详情图的首P(现在看不到哦~,我们也只能看到预览图)

上图中有两个价格,对!一个是专柜价,一个是双11购物狂欢节价格并且上面标注很醒目的“低于5折”标签!

现在告诉你们我们是如何操作这两个价格的,再来一张图:

这张图片就是我们设置双十一价格的操作后台(官方叫这个为“双十一官方活动优惠设定”)
现在请大家关注三个地方:专柜价活动售卖价、最低价

专柜价:这个我上面说过了,基本随便填,当然,商家不是傻子的话也不会太随便

最低价:这个关键了,上面也说过,系统会抓取本店在9月15日至11月10日的成交最低价
你们也许会说,啊,成交最低价,我知道怎么看!不就是这个吗:

sorry,真不是
许多天猫商家会告诉你,我们是不能修改价格的。某种意义上是这样没错。
但是,有个东西叫套餐比如,我们这件东西,如果要卖你250(我是不小心或者故意的),确实在单品上改不了价格,那我就给你做个套餐搭配什么呢?没错,就是你们常见的补差价链接补邮费链接什么的。因此,即便我250元卖给你,在你们看到的月成交记录中也是299元。(是不是 有种被雷击中的感觉?)

天猫当然知道,回到上上张图片,最低价下面显示的价格是包含套餐交易的最低价格什么意思呢?比如我这款产品搭配一个补差价链接(差价链接也会设置价格,比如10元),那么套餐原价应该是299元+10元=309元最后我修改套餐价格为250元卖给你。天猫会怎么计算最低价?299/309*250元懂了吗?(看到我们的最低价格依然是299元,你会不会热泪盈眶多口而出:良心卖家啊!)

活动售卖价:这个就是双十一当天我们出售的价格了我主要给大家展示一下乱设价格会发生什么:

首先,肯定不能设置高于最低成交价的价格,否则:

大家看明白了吧?有没有便宜可占?必须有!再加上各种活动优惠券,你再算一下?拿我们店为例:30元优惠券再加上满999元减100元,满1999元还送其它东西你们自己感受吧,能便宜多少?

当然,不同的店铺优惠的程度也是不同的。我只是想告诉你们,商家是可以让利给你们的为什么?我上面也讲过了:集中性的大促活动会大大降低我们的单位运营成本(人力、推广库存等等),因此我们才会也能够给你们让利!

来源:http://www.zhihu.com/question/21889249/answer/19659588